DOWNLOAD PDF LATIHAN SOAL UN UNBK UNKP MATEMATIKA SMA TAHUN 2019 (SMA IPA, SMA IPS DAN SMA BAHASA)

FOLDERSOAL.COM - Selamat Pagi..Siang..Malam.. Masih Semangat kan?? Selamat datang di Situs kami yang paling semangat untuk berbagi soal-soal terlengkap di internet. Jangan Lupa untuk memberitahu sahabat-sahabat kalian ya tentang keberadaan situs FOLDERSOAL.COM kalau kalian terbantu dengan artikel yang dimuat pada situs kami. Belum ketemu juga soalnya? Klik icon Pencarian di sebelah kanan atas pada situs ini, ketik disitu ya.. Masih belum ketemu?? tinggalkan komentar untuk request xxx.. kami dengan senang hati menerima referensi soal-soal terbaru. Jangan lupa Berbagi ke Lainnya! Udahan ah intronya xxx

Latihan Soal UN UNBK UNKP Matematika SMA Tahun 2018/2019
(SMA IPA, SMA IPS dan SMA Bahasa)



Berikut Contoh Latihan Soal UN UNBK UNKP Matematika SMA Tahun 2019  (SMA IPA, SMA IPS dan SMA Bahasa). Desain soal latihan ini sebagai hasil pelatihan membuat soal Online melalui Blogspot. Mudah-mudahan bisa digunakan untuk sekedar memberikan persiapan berlatih mempelajari Soal UN UNBK UNKP Matematika SMA Tahun 2018/2019  (SMA IPA, SMA IPS dan SMA Bahasa) ala games. Sekali lagi ini hanya Soal Latihan UN (UNBK / UNKP) Matematika SMA Tahun 2018/2019



DILARANG MENGCOPY

Petunjuk: Klik pada bulatan di depan pilihan jawaban yang menurut anda benar..!!

(1) Waktu tes tulis selama 120 menit;
(2) Pilihlah salah satu jawaban yang dianggap paling benar (masing-masing soal memiliki bobot 1);
(3) Pemeriksaan hasil tes tulis dilakukan melalui sistem komputerisasi; Ketepatan jawaban dapat dilihat langsung pada notifikasi. Selamat mencoba. 



1.  Akar-akar persamaan  x2 + (a – 1)x + 2 = 0 adalah α dan b. Jika α = 2b  dan  a> 0 maka nilai a = ….
A. 0       
B. 1       
C. 2       
D. 3       
E. 4       


2. Perhatikan grafik berikut!


   Persamaan grafik tersebut adalah ....
A. y = 2. 3
B. y = 3. 2x
C. y = –2. 3
D. y = – 1/3. 2x
E.  y =  1/3. 2x



3. 

A.  -3
B.  -1
C. -1/3 
D. ½
E. 2


4. 

A. 1/3
B. 1/2
C. 1
D. 2
E. 4                      

5. Diketahui kubus ABCD.EFGH dengan panjang rusuk 4 cm. Jarak titik B ke garis EG adalah ….
A.  2√2cm          
B.  2√3cm
C.  4√3cm
D.  2√6cm
E.  4√2cm

6. 
A. –6
B. –4
C. 4
D. 11
E. 16


7.  


A. 2/3 (√5 + 2√2)
B. 2/3 (√2 - √5)
C. - 2/3 (2√5 + 4√2)
D. - 4/9 (2√5 + 2√2)
E. - 4/9 (2√5 - √2)


8.  




A. 27/2
B. 9/2
C. 27/8
D. 9/8
E. 8/27


9. Dari angka-angka 0 sampai dengan 9 dan huruf-huruf A, I, U, E, O akan dibuat plat nomor suatu daerah yang terdiri dari 3 angka di depan dan 2 huruf di belakang dengan tidak ada angka dan huruf yang berulang. Banyak plat nomor yang dibuat adalah ….
A. 50 buah
B. 300 buah
C. 10.080 buah
D. 12.960 buah
E. 14.450 



Warning !! Ini Contoh Latihan Soal UN UNBK UNKP Matematika SMA Tahun 2018/2019 (SMA IPA, SMA IPS dan SMA Bahasa). Cara menjawab: Klik pada bulatan di depan pilihan jawaban yang menurut anda benar..!!


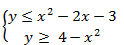
10. Daerah yang diarsir pada gambar di bawah memenuhi sistem pertidaksamaan,....


A.
       
B.
       
C.
        
D.
        

E.
        




11. Diketahui 3log 5 = a dan 2log 3 = b. Nilai 6log 10 adalah 
A.


B. 


C.  


D. 


E.



12.  


A.   



B.


C.


D.


E.



13. 
A. 


B. 


C.


D. 


E.


14. Persamaan grafik fungsi pada gambar di bawah ini adalah …


A. y = 2log (x – 1)
B. y = 2log x – 1
C. y = 2log (x + 1)
D. y = 2log x + 1
E.  y = 3log (x – 1)



15. 
A.      x < –3 atau x > 4


B.       x < 2 atau x > 4


C. 

D.

E.       2 < x < 4 




16.  Garis 2x + y – 2 = 0 menyinggung kurva
y = x2 + px + 3 dengan p < 0. Nilai p yang memenuhi adalah ... 
A. -4
B. -2
C. 1
D. 2
E. 4

17. Budiman mengerjakan seluruh soal yang banyaknya 70 soal. Sitem penilaian adalah jawaban yang benar diberi skor 2 dan yang salah diberi skor –1 . Jika skor yang yang diperoleh Anto sama dengan 80, maka banyaknya soal yang Budiman jawab salah sama dengan….
A. 40
B. 35
C. 30
D. 25
E. 20

18. Diketahui segitiga PQR sembarang, dengan S pada PR dan T pada QR, garis ST sejajar PQ. Titik U adalah perpanjangan PR. Jika sudut URT dan sudut STR berturut-turut 1200 dan 500, maka besar sudut QPR adalah....
A. 450
B. 500
C. 600
D. 700
E. 750

19. Diketahui segitiga samakaki ABC dengan AB=BC= 8 cm dan AC= 4 cm. Titik D pada AB sehingga CD merupakan garis tinggi segitiga. Panjang CD= ....
A. √5
B. √10
C. √12
D. √13
E. √15

Warning !! Ini Contoh Latihan Soal UN UNBK UNKP Matematika SMA Tahun 2019 (SMA IPA, SMA IPS dan SMA Bahasa). Cara menjawab: Klik pada bulatan di depan pilihan jawaban yang menurut anda benar..!!


20. Anak usia balita dianjurkan dokter untuk mengkonsumsi kalsium dan zat besi sedikitnya 60 gr dan 30 gr. Sebuah kapsul mengandung 5 gr kalsium dan 2 gr zat besi,sedangkan sebuah tablet mengandung 2 gr kalsium dan 2 gr zat besi. Jika harga sebuah kapsul Rp1.000,00 dan harga sebuah tablet Rp800,00, maka biaya minimum yang harus dikeluarkan untuk memenuhi kebutuhan anak balita tersebut adalah…
A. Rp.12.000,00
B. Rp.14.000,00
C.  Rp.18.000,00
D. Rp.24.000,00
E. Rp. 36.000,00



21. 

A. -16
B. -4
C. 4
D. 16
E. 32



22. 

A. -1/2
B. -1/4
C. 0
D. 1/2
E. 1/4


23. Himpunan penyelesaian dari sin 3x = ½ , untuk 00 × ≤800 adalah ....
A.   {300, 1500}
B.  {100, 500}
C.  {100, 500, 1300}
D.  { 300, 500, 1800}
E.  {150, 750, 1300}

24.  Sukubanyak (4x3 + 5x2 – 8x + 5) dibagi (x2 – 3x + 1), hasil bagi dan sisanya berturut-turut adalah....
A. 4x + 17 dan 39x – 12
B. 39x – 12 dan 4x + 17
C. 4x – 17 dan 39x + 12
D. 39x + 12 dan 4x – 17 
E. 4x – 39 dan 12x – 17

25. Diketahui suatu barisan aritmetika, Un menyatakan suku ke–n. Jika U7 = 16 dan U3 + U9 = 24, maka jumlah 21 suku pertama dari deret aritmetika tersebut adalah … 
A. 336
B.  672
C. 756
D. 1.344
E. 1.512
      

26. Bakteri jenis A berkembang biak menjadi dua kali lipat setiap lima menit. Pada waktu lima belas menit pertama banyaknya bakteri ada 400. Banyaknya bakteri pada waktu tiga puluh lima menit pertama adalah … bakteri
A.  640  
B.  3.200
C.  6.400 
D.  12.800
E.   32.000

27.  Salah satu faktor dari (2x3 + px2 – 10x – 24) adalah (x + 4). Faktor-faktor lainnya adalah....
A. (2x + 1) dan (x + 2)
B. (2x + 3) dan (x + 2)
C. (2x – 3) dan (x + 2)
D. (2x – 3) dan (x – 2)
E. (2x + 3) dan (x – 2)

28. 


A.


B.  


C. 


D. 


E.  




29. 

A. 64
B. 68
C. 72
D. 74
E. 76


Warning !! Ini Contoh Latihan Soal UN UNBK UNKP Matematika SMA Tahun 2018/2019 (SMA IPA, SMA IPS dan SMA Bahasa). Cara menjawab: Klik pada bulatan di depan pilihan jawaban yang menurut anda benar..!!

30. Persamaan parabola yang puncaknya (–2, 1) dan fokusnya (–3, 1) adalah....
A.  y2 – 2y + 4x + 9 = 0
B   y2 – 2y – 4x + 9 = 0
C.  y2 + 2y + 4x – 9 = 0
D.  y2 – 2y – 4x – 7 = 0
E.  y2 – 2y + 4x + 7 = 0

31. Persamaan elips 9x2 + 25y2 – 18x + 100y – 116 = 0 , titik fokusnya adalah....
A. (–4, 0) dan (4, 0)
B.  (–3, –2) dan (5, –2)
C.  (–4, –2) dan (4, –2)
D. (0,–4) dan (0, 4)
E.  (–3, 0) dan (5, 0)

32. Keliling suatu segienam beraturan adalah 72 cm. Luas segi enam tersebut adalah ...
A. 432 √3 cm2
B. 432 cm2
C. 216 √3 cm2
D. 216 √2 cm2
E.  216 cm2

33. Diketahui kubus ABCD.EFGH dengan panjang rusuk  √6 cm. Jarak titik A ke garis CF adalah …
A.  2/3 √3cm
B.  ¾ √3cm
C. √3 cm
D. 2 cm
E. 3 cm
  
34. Kubus ABCD.EFGH memiliki rusuk 4 cm. Sudut antara AE dan bidang AFH adalah a. Nilai sin a = …
A.   ½ √2
B.   ½ √3
C.  1/3√3
D.  2/3√2
E. 3/4√3


35. Suatu baris geometri : 16, 8, 4, 2, …, maka jumlah n suku pertama adalah….

A. 2n-5 – 32
B. 25-n - 32
C. 32- 25-n
D. 32- 2n-5
E. 32-  ½n-5

36. 
A.
      
B.
      
C.
      
D.
      
E.
     



37. Persamaan lingkaran yang sepusat dengan lingkaran x2 + y2 – 6x – 2y – 15 = 0 dan melalui titik (8, 13) adalah....

A. x2 + y2 – 6x – 2y – 15 = 0
B. x2 + y2 – 6x – 2y + 15 = 0
C. x2 + y2 – 6x – 2y – 169 = 0
D. x2 + y2 – 6x – 2y + 159 = 0
E. x2 + y2 – 6x – 2y – 159= 0


38. Bayangan garis  2x – 3y – 7 = 0 oleh rotasi dengan pusat O (0,0) sebesar 90° berlawanan arah putaran jarum jam, dilanjutkan oleh pencerminan terhadap garis y = x adalah …
A. 2x – 3y + 7 = 0
B. 2x + 3y – 7 = 0
C.  2x + 3y + 7 = 0
D. 3x – 2y – 7 = 0
E. 3x – 2y + 7 = 0


39. Modus dari histrogram di bawah ini adalah….

A. 42,17
B. 43,17
C. 43,50
D. 43,83
E. 45,50



Warning !! Ini Contoh Latihan Soal UN UNBK UNKP Matematika SMA Tahun 2018/2019 (SMA IPA, SMA IPS dan SMA Bahasa). Cara menjawab: Klik pada bulatan di depan pilihan jawaban yang menurut anda benar..!!


40.  Sebuah bola tenis dijatuhkan dari ketinggian 2 m dan memantul kembali menjadi  4/5   tinggi sebelumnya. Panjang lintasan bola tenis tersebut sampai berhenti adalah …
A. 8 m
B.  16 m
C. 18 m
D. 24 m
E. 32 m

41. Diketahui f(x) = sin3(3 – 2x). Turunan pertama fungsi tersebut adalah f’(x) = ....
A.  6 sin2(3 – 2x) cos(3 – 2x)
B.  6 sin2(3 – 2x) cos(3 – 2x)
C.  – 2 sin2(3 – 2x) cos(3 – 2x)
D. – 6 sin2(3 – 2x) sin(6 – 2x)
E. – 3 sin2(3 – 2x) sin(6 – 4x)


42.  Data berat badan (dalam kg) 30 balita seperti disajikan dalam histogram berikut. Median data tersebut adalah ….




A. 9,00 kg
B. 9,50 kg
C. 10,00 kg 
D. 10,50 kg 
E. 11,00 kg 

43. Banyak bilangan terdiri dari 3 angka berbeda lebih dari 200 yang dapat disusun dari angka-angka 1, 2, 3, 5, 7, 9 adalah …
A. 68
B. 78
C. 80
D. 92
E. 100


44. Sebuah peluru dengan persamaan lintasan h(t) = 20t – 2t2, (h dalam meter dan t dalam sekon). Tinggi maksimum peluru tersebut adalah....
A. 10 m
B. 15 m
C. 25 m
D. 50 m
E. 100 m

45. Suatu barang bernilai Rp. 1.000.000,-. Jika mengalami penyusutan 20% pertahun, maka setelah 2 tahun nilai buku menjadi ....
A. Rp. 540.000,-
B. Rp. 600.000,-
C. Rp. 640.000,-
D. Rp. 800.000,-
E. Rp. 840.000,-

46.  Dalam sebuah keluarga yang terdiri dari Ayah, Ibu, dan 5 orang anaknya akan makan bersama duduk mengelilingi meja bundar. Jika Ayah dan Ibu duduknya selalu berdampingan, maka banyak cara mereka duduk mengelilingi meja bundar tersebut adalah....
A. 120
B. 240
C. 720
D. 1020
E. 5040


47. Perhatikan data berikut ini!


Kuartil bawah dari data di atas adalah….
A. 47,17
B. 48,50
C. 50,50
D. 51,83
E. 54,50


48.  Setiap 2 warna yang berbeda dicampur dapat menghasilkan warna baru yang khas. Banyak warna baru yang khas apabila disediakan 5 warna yang berbeda adalah …
A. 8
B. 10
C. 15
D. 20
E. 60


49. Himpunan penyelesaian dari 4 sin(x – 300) cos(x – 300) = 1, untuk 00< x < 1800 adalah....
A. {450, 1050}
B. {450, 1200}
C. {300, 1050}
D. {300, 1200}
E. {300, 1500}


50. Suatu kotak tanpa tutup dengan alas berbentuk persegi mempunyai volume 4 cm3. Luas maksimum permukaan kotak tersebut adalah....
A. 2 cm2
B. 4 cm2
C. 8 cm2
D.10 cm2
E. 12 cm2

PENASARAN MAU COBA LAGI (COBA DISINI)



MAU MENCOBA SOAL LATIHAN UN (UNBK) / US SMA TAHUN 2019 

Latihan online Soal UN UNBK UNKP Matematika SMA Tahun 2019  Versi 2 (BACA DISINI)

Latihan online Soal UN UNBK UNKP Bahasa Indonesia SMA Tahun 2019  untuk SMA IPA, SMA IPS dan SMA Bahasa (BACA DISINI)

Latihan online Soal UN UNBK UNKP Bahasa Indonesia SMA Tahun 2019  Versi 2 (BACA DISINI)

Latihan online Soal UN UNBK UNKP Bahasa Inggris SMA Tahun 2019  untuk SMA IPA, SMA IPS dan SMA Bahasa (BACA DISINI)

Latihan online Soal UN UNBK UNKP Bahasa Inggris SMA Tahun 2019  Versi 2 (BACA DISINI)

Demikian contoh sederhana latihan online Soal UN UNBK UNKP Matematika SMA Tahun 2019  (SMA IPA, SMA IPS dan SMA Bahasa). Terima Kasih Semoga bermanfaat. 
======================================



Masih Belum Menemukan apa yang kalian cari?? Klik Icon Pencarian di sebelah kanan atas website ini.

Jangan lupa Sharing FOLDERSOAL.COM ke teman, sahabat atau keluarga anda untuk informasi mengenai soal apa aja.. atau kalian juga bisa mengirimkan kritik atau saran ataupun request soal-soal yang belum tersedia pada situs ini pada kontak yang telah disediakan pada website ini ya. Jangan Lupa Bahagia!! Good Luck!



Via : http://foldersoal.com/

Belum ada Komentar untuk "DOWNLOAD PDF LATIHAN SOAL UN UNBK UNKP MATEMATIKA SMA TAHUN 2019 (SMA IPA, SMA IPS DAN SMA BAHASA)"

Posting Komentar

Iklan Atas Artikel

Iklan Tengah Artikel 1

Iklan Tengah Artikel 2

Iklan Bawah Artikel